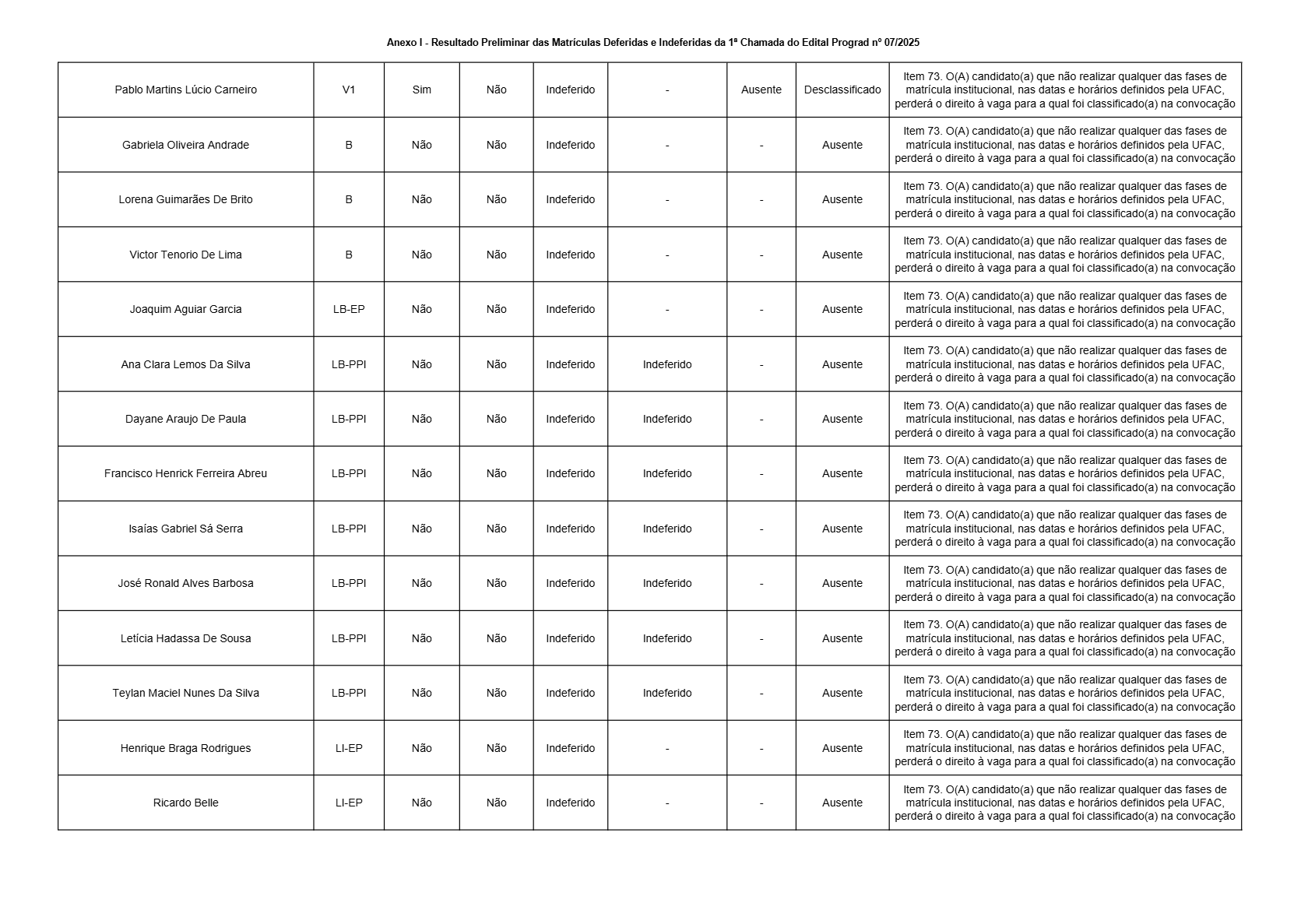
A Universidade Federal do Acre (Ufac) tornou público nesta terça-feira, 1, o resultado preliminar das matrículas institucionais da primeira chamada do processo seletivo específico para ingresso no curso de bacharelado em medicina nos semestres letivos de 2025.
Os candidatos que tiveram suas matrículas indeferidas podem entrar com recurso a partir das 00h00 do dia 1º de abril até as 23h59 do dia 4 de abril de 2025. O procedimento deve ser realizado pela página de acompanhamento do candidato, no link https://sistemas.ufac.br/selecoes_ufac/.
Para aqueles que constam no resultado preliminar como “ausentes”, a solicitação de regularização deverá ser feita através do Sistema Eletrônico de Informações (SEI), acessando http://www2.ufac.br/sei/seiexterno. Nesse caso, o candidato precisa abrir um processo com a especificação “Matrícula Fora do Prazo” e anexar os documentos comprobatórios. Apenas candidatos que apresentarem justificativa por motivo de força maior ou caso fortuito terão os pedidos analisados.
Candidatos que tiveram matrícula indeferida na entrevista de heteroidentificação podem solicitar informações preliminares sobre o parecer do indeferimento através do e-mail da Pró-Reitoria de Graduação ([email protected]). Já aqueles que foram indeferidos na Perícia Médica pela Comissão Permanente de Validação de Laudos Médicos (CPV/PcD) devem entrar em contato pelo e-mail [email protected] durante o prazo do recurso.
Recursos enviados por correio, fax ou e-mail fora dos canais especificados não serão aceitos. O candidato também pode anexar documentos para regularizar sua matrícula, desde que estejam digitalizados de forma legível, com fundo branco e enquadramento total das páginas frente e verso.
Capa: Altino Machado














